Nouvelle publication scientifique !
Monitoring of monoclonal antibody critical quality attributes and free amino acids in CHO bioprocesses using Raman spectroscopy and DUPLEX-based PLS modeling.
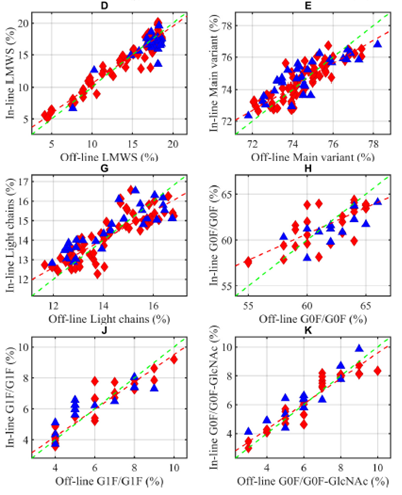
Publiés dans Microchemical Journal fin Septembre 2025, cet article présente les travaux réalisés sur le suivi en ligne des Attributs de Critiques de la Qualité (Critical Quality Attributes – CQAs-) des anticorps monoclonaux (mAb) et des acides aminés libres dans des cultures de CHO en utilisant la spectroscopie Raman en ligne dans des bioréacteurs.
Les modèles de régression PLS (Partial Least-Squares Regression) ont permis la prédiction des critères de qualité finaux des anticorps produits, les CQAs suivants :
- Agrégats – formes multimériques du mAb, qui affectent la stabilité et l’immunogénicité.
- Fragments – produits de dégradation ou de clivage du mAb, impactant la pureté et l’efficacité.
- Glycoformes – variations du profil de glycosylation, influençant la pharmacocinétique et la bioactivité.
- Variants de charge – isoformes résultant de modifications post-traductionnelles (ex. désamidation, amidation, C-terminal lysine), qui affectent la stabilité et la performance thérapeutique.

🧪 De plus, les modèles développés ont également permis de prédire les acides aminés libres dans le milieu de culture (profil nutritionnel dynamique), ce qui permet un suivi simultané du métabolisme cellulaire et de la qualité du produit.
La prédiction de ces Attributs Critiques de la Qualité de l’anticorps produit par spectroscopie Raman en ligne dans le bioréacteur constitue une avancée majeure dans la supervision des cultures cellulaires en bioréacteurs. Ces modèles de prédiction on été bâtis sur des cultures de CHO et des mesures Raman réalisées par Servier Technolgie sur le site du Bio-S / Bio-Engineering à Gidy.
Dr. Morandise Rubini a mené ces travaux dans le cadre du projet CLIMBIN avec différents chercheurs de l’Université de Tours (Prof. Igor Chourpa), du LRGP de Nancy, de Technologie Servier, d’Indatech-Chauvin Arnoux Group et d’Ondalys. Co-autrices de cet article, Jordane Poulain et Dr. Sylvie Roussel ont apporté leur expertise en Machine Learning pour le traitement de spectres Raman en ligne en bioréacteur.
Morandise Rubini, Anaïs Berger, Thomas Saillard, Fabrice Cantais, Martin Soucé, Jordane Poulain, Sylvie Roussel, Julien Louet, Fabien Chauchard-Rios, Sylvain Arnould, Igor Chourpa. (2025). Monitoring of monoclonal antibody critical quality attributes and free amino acids in CHO bioprocesses using Raman spectroscopy and DUPLEX-based PLS modeling. Microchemical Journal 218 (2025) 115583



